“风险偏好”如何量化分析?影响因素请看这
2016年05月30日 18:35
来源:凤凰财经
文章来自公众号:分析师徐彪作者:徐彪、刘晨明

图
每次市场下跌的时候,大家都热衷于讨论一个问题:指数什么时候见底?是2700点?2500点?还是2000点?
一种相对乐观的看法认为,“从2013年底开始,无风险利率已经下降了大约37.8%,既然利率水平下台阶了,那么估值中枢自然也要上移,所以2013年底到目前上证A股PE37.6%的涨幅是相对合理的,这也就是说上证综指2800点的位置已经接近底部了”。

图
今天我们暂不讨论2800点是不是真的接近底部了,而是去关注一个可能更加值得思考的问题。
回溯历史,A股市场既出现过估值与无风险利率负相关的阶段,也同样出现过估值与无风险利率正相关的阶段。所以,从直观的感受上来说,A股市场PE中枢的抬升与利率水平的下降之间,并不构成必然联系。

图
问题出在哪里?
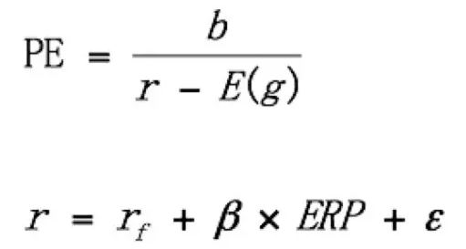
有的时候从被忽视了很久的理论和公式出发,反而能让大家把问题看得更明白,所以我们先看一组公式:

图
公式一意味着影响估值最重要的因素之一是预期回报率r,而公式二则说明回报率或者折现率r由无风险利率和风险溢价共同决定。所以综合两个公式,我们就明白,为什么从估值与无风险利率之间得不到明确的关系,因为这其中我们会经常忽视风险溢价的变化对估值产生的巨大影响。
这就引出了我们今天想重点讨论的一个问题:“风险偏好”。而经常被忽视的风险溢价则恰恰是衡量风险偏好的关键变量,也是研究“风险偏好”的载体。一个简单的对应关系是,风险偏好下降意味着风险溢价上升,抑制股票估值;风险偏好上升意味着风险溢价下降,推升股票估值。
当我们谈论“风险偏好”的时候,一些简单粗暴的理解可能把“风险偏好”看作是投资者的情绪,是无法把握的不稳定因素。但事实上,问题不止于此。透过风险偏好,以风险溢价为研究对象,下面四个问题还需要具体研究:
(1)如何度量“风险偏好”?
(2)各类因素怎样影响“风险偏好”?
(3)如何解释历史上“风险偏好”的波动?
(4)未来“风险偏好”怎样演绎?
1、如何度量“风险偏好”?
过去每次路演提到风险偏好的时候,大家都觉得这是一个抽象的概念,似乎怎么说都有道理,但就是没办法确切的把握或者衡量风险偏好到底处于一个什么样的位置。
所以这次我们引入风险溢价(ERP)的概念,尽量能够从定量的角度来解释“风险偏好”的变化。
对于风险溢价(ERP)来说,大家平时讨论的比较少,是一个相对陌生的东西。“风险溢价”有两个不同的含义:
一是事后的或者已实现的风险溢价,这是实际的、通过历史数据观察得到的市场收益率(以指数收益率代替)与无风险利率(通常以国债收益率代替)之间的差值;
二是事前的或者预期的风险溢价,这是一个前瞻性的溢价,即通过对一系列风险事件未来演变的趋势加以判断和权衡后,投资者要求的风险溢价水平。所以预期的风险溢价是衡量风险偏好的重要指标。
具体如何测算?
先来看“事后的ERP”,这是历史上已经实现了的风险溢价,相对好理解,也容易测算:
事后ERP=Rm-Rf,其中Rm用万得全A月度收益率表示,Rf用十年期国债收益率表示。

图

图
再来看“事前的ERP”,也就是投资者所预期的风险溢价,是我们讨论的重点,测算起来也相对繁杂一些。我们知道,利用DDM模型可以求得股票的预期收益,从中减去国债等无风险的收益,即得到投资者所预期的股票风险溢价。这里我们采用经典的Gorden模型:
P=D/(r-g),r=Rf+ERP
于是把以上两个式子结合起来,就得到了计算“事前ERP”的公式:
事前ERP=D/P-Rf+ERP 其中D/P我们用全部A股的股息率表示,Rf用10年期国债收益率表示, g用名义GDP增速表示。但需要注意的是,事前ERP的计算进行了很多近似处理,所以最后的计算结果未必准确。
公式推演看起来相对晦涩,我们用几句话概括一下这部分得到的结论:
(1)“风险溢价”的概念包含两次意义:一是历史上已经实现了的ERP,即事后ERP;二是投资者所预期的ERP,即事前ERP。
(2)事前ERP可以用来衡量投资者的风险偏好,当投资者对未来市场给予较高的“事前风险溢价”的时候(对应风险偏好下降),股利的折现率相应上升,股价下跌,意味着从事后的角度来看,投资者得到的实际风险溢价将下降;反之亦反之。因此事前ERP与事后ERP反向相关。
(3)由于事后ERP计算方便、准确且与事前ERP有确定性的反向关系,因此计算事后ERP可以辅助我们完成两项工作:
一是在回溯研究的过程中,可以借助观察事后ERP与各种因素之间的变动关系,从而研究、确定事前ERP与这些因素的相关性,因为事前ERP并不那么容易通过计算准确得到,但从逻辑上却与事后ERP有确定性的反向关系。
二是在对未来进行预测的过程中,可以通过预测风险溢价(事前ERP,也即风险偏好)的变动,从而对未来可以实现的风险溢价(事后ERP)做出判断。

图
2、各类因素怎样影响“风险偏好”?
这一部分内容我们将梳理影响“风险偏好”(事前ERP)的因素和传导的逻辑,从而为下集中的研究做好准备。
为了清晰和便于研究,我们将影响风险偏好(事前ERP)的因素分为“定量因素”和“定性因素”。前者是可定量分析相关性的影响因素,客观性更强;后者是只能定性分析的影响因素,主观性更强一些。
首先来看一些可以定量分析、并且能够显著影响到风险偏好(事前ERP)的因素。
① 来自经济波动的因素
一方面,从经济增长的角度来说,当经济飞速增长的时候,人们都感觉自己的钱袋子鼓了,手里可支配的钱也就多了起来。同时在欣欣向荣的环境下,人们的风险敏感程度和厌恶程度也都随之下降,于是给予资产的风险溢价(事前ERP)很低,相应的就会实现较高的风险收益(事后ERP);反之亦反之。

图

图
另一方面,经济增长的波动率也是影响风险偏好的重要因素。出于寻求确定性的原因,投资者如果能够对经济的变动做出准确的预判,那么投资者的风险偏好会显著更高。换句话说,在经济窄幅波动的情况下,投资者能够做到对于未来发生的事情“了如指掌”,那么这样的情况下,风险就相对低的多。所以,当经济的波动率下降的时候,投资者整体风险偏好提升,预期的风险溢价(事前ERP)下降,相应的就会实现较高的风险收益(事后ERP);反之亦反之。

图
② 来自投资者结构变化的因素
一方面因素的影响来自专业投资者规模的变化,与个人投资者相比,专业投资者在综合知识水平、专业能力、风险识别以及组合投资方面都更加突出,这就意味着专业投资者具有显著更高的风险偏好,也就是说,当市场上的专业投资者快速增加的时候,投资者整体风险偏好提升,预期的风险溢价(事前ERP)下降,相应的就会实现较高的风险收益(事后ERP);反之亦反之。

图
另一方面的影响因素来自产业资本的增减持,而产业资本则代表了企业部门的行为。企业部门参与市场比例的提升,有利于市场整体风险偏好的提升,从而预期风险溢价(事前ERP)下降,相应的就会实现较高的风险收益(事后ERP);反之亦反之。
企业部门为何具有显著更高的风险偏好?我们觉得部分原因可能在于企业部门长期承受着显著高于住户部门的收入波动风险。如果用全国国有及规模以上非国有工业企业的利润来表示企业部门的收入,用城镇居民人均可支配收入来代表住户部门的收入,可以发现与企业部门相比,住户部门收入的环比波动情况要平缓的多。

图
其次再来看一些只能定性分析、但同样会显著影响风险偏好(事前ERP)的因素。
① 来自政策变动的因素
在诸多影响风险偏好的因素中,政策的动向最难把握,但是做为以“政策市”著称的A股市场中的一名投资者,由不得不削尖脑袋去揣摩、跟踪政策的趋势。
从汇率政策、货币政策(降准、降息、MFL等)到一系列监管政策(并购重组、借壳、定增、去杠杆),再到最为“牵动人心”改革政策(供给侧改革、国企改革、金融改革等),在过去两年中都显著的影响了市场的风险偏好继而市场走势,这也是说,政策变动是影响风险溢价短期波动的最关键因素。在《“风险偏好”那点儿事》的下集中,我们将对此作出具体讨论和预测。
② 来自尾部风险的因素
所谓尾部风险就是那些发生概率很小,但是一旦发生,就会带来致命打击的风险因素。从全球的经验来看,尾部风险的爆发,是造成风险偏好大起大落的直接原因(也可能是为数不多能让风险偏好剧烈波动的因素)。97、98年遭遇亚洲金融危机同时打破刚兑的韩国,07年金融危机的大部分国家金融市场,都是在这些尾部风险爆发的时候,风险偏好出现大幅回落,而危机“出清”后又随即好转。


图
下表将前文从全球经验出发得到的风险偏好影响因素进行了汇总,包括但不限于此。

图
大势解读,牛股捕捉,尽在微信号【凤凰证券】或者【ifengstock】
盘后剖析A股走势,指点明日走势,请关注微信号【复盘大师】或【fupan588】
股票早餐,股市内参,涨停股预测,尽在微信号【A股情报】或【agqb888】
[责任编辑:荣辛 PF049]
责任编辑:荣辛 PF049
【独家稿件声明】凡注明“凤凰财经”来源之作品(文字、图片、图表或音视频),未经授权,任何媒体和个人不得全部或者部分转载。如需转载,请与凤凰网财经频道(010-60676000)联系;经许可后转载务必请注明出处,违者本网将依法追究。
近一年
13.92%
混合型-华安逆向策略
凤凰点评:
业绩长期领先,投资尖端行业。
网罗天下

凤凰财经官方微信
视频
-
李咏珍贵私人照曝光:24岁结婚照甜蜜青涩
播放数:145391
-
金庸去世享年94岁,三版“小龙女”李若彤刘亦菲陈妍希悼念
播放数:3277
-
章泽天棒球写真旧照曝光 穿清华校服肤白貌美嫩出水
播放数:143449
-
老年痴呆男子走失10天 在离家1公里工地与工人同住
播放数:165128
财富派
战火锻造的富兰克林家族
点击数:1378761
奥巴马拒住的酒店原来是中国人的
点击数:1398712
为什么这个90后是未来的扎克伯格?
点击数:1765508
陈曦:琴与弓的生活美学
点击数:1928339



